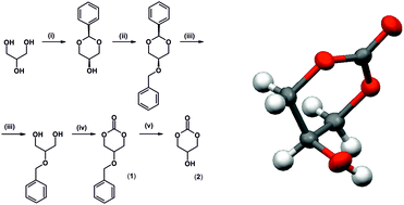
Five- and six-membered cyclic carbonates have recently become popular as starting materials for the synthesis of polycarbonates via ring opening polymerization or synthesis of environmentally friendly non-isocyanate polyurethanes. In many cases a five-membered glycerol carbonate has been used in these applications. However, the simplest derivative of glycerol, a six-membered cyclic glycerol carbonate (5-hydroxy-1,3-dioxan-2-one), has not been reported so far. In this work, for the first time, we report a procedure for the synthesis of this monomer from glycerol. The product was characterized by 1H NMR, 13C NMR, and FTIR spectroscopy and X-ray diffraction measurements. Further, the synthesis of bis(2-oxo-1,3-dioxan-5-yl) sebacate, a biscyclic six-membered carbonate, was described. The reactivities of 5-hydroxy-1,3-dioxan-2-one and its biscyclic ester derivative were investigated. No ring opening polymerization of both the monomers was observed, instead an isomerization to appropriate five-membered cyclic carbonates occurred. Unfortunately, the protection of the hydroxyl group 2with an ester type substituent does not protect it against isomerisation



Synthesis, characterization and reactivity of a six-membered cyclic glycerol carbonate bearing a free hydroxyl group
*Corresponding authors
aFaculty of Chemistry, Warsaw University of Technology, Noakowskiego 3, 00-664 Warsaw, Poland
E-mail: tryznowski@ch.pw.edu.pl
E-mail: tryznowski@ch.pw.edu.pl
bFaculty of Production Engineering, Warsaw University of Technology, Narbutta 85, 02-524 Warsaw, Poland
Green Chem., 2015, Advance Article
DOI: 10.1039/C5GC01688F.......http://pubs.rsc.org/en/Content/ArticleLanding/2015/GC/C5GC01688F?utm_source=feedburner&utm_medium=feed&utm_campaign=Feed%3A+rss%2FGC+%28RSC+-+Green+Chem.+latest+articles%29#!divAbstract
Warsaw
University of Technology Faculty of Chemistry ul. Noakowskiego 3,
00-664 Warszawa, Poland Phone: +48 22 234 7317. E-mail:
pparzuch@ch.pw.edu.pl
faculty of Chemistry, Warsaw University of Technology, Noakowskiego
Mozambique • Inhambane
more.......

No comments:
Post a Comment